- 生物活動の指標となるクロロフィルαの濃度について、従来手法では困難だった沿岸域でのリモートセンシング推定を可能にする新手法を開発
- 国際宇宙ステーション搭載ハイパースペクトルセンサーHISUIのデータにデータマイニングを適用し、近赤外域に現れる「ダブルピーク」を明瞭に検出
- ネイチャーポジティブ実現に向け、サンゴをはじめとする沿岸生態系の変化を宇宙から継続的に見守る、新たな環境モニタリング技術として期待される

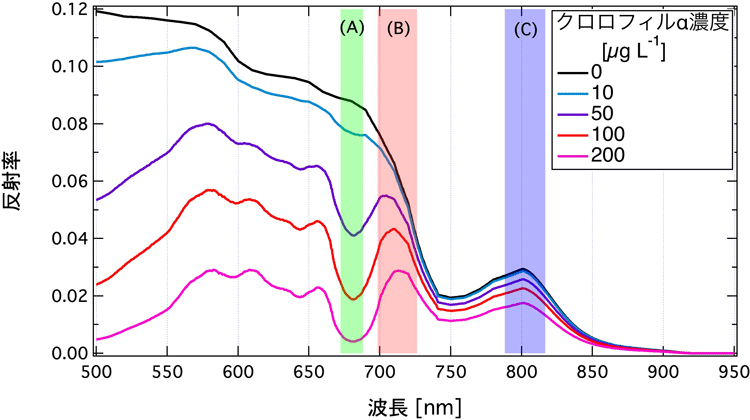
衛星センサーが捉える反射スペクトルには、水面で反射した光や水中の植物プランクトンや陸域から流入する浮遊物による光、底質からの反射光など、さまざまな要素が混ざっている。特に沿岸の浅海域では、底質反射や陸域由来の物質の影響が大きいため、従来の可視光観測ではクロロフィルα濃度の推定が難しいという課題があった。今回、近赤外域のハイパースペクトルデータを活用することで、複雑な沿岸環境からクロロフィルα濃度の推定に成功した。※原論文の図を引用・改変したものを使用。
国立研究開発法人産業技術総合研究所(以下「産総研」という)地質情報研究部門の山本 聡 研究グループ長、松岡 萌 研究員、池田 あやめ 研究員、水落 裕樹 主任研究員、ネイチャーポジティブ技術実装研究センターの井口 亮 研究チーム長と名桜大学の水山 克 准教授は、国際宇宙ステーション(ISS)搭載のハイパースペクトルセンサーHISUI : Hyperspectral Imager Suiteのデータから海洋の生産力の指標となるクロロフィルα濃度を推定する新たな反射スペクトル解析手法を開発しました。さらに、この手法が、これまで宇宙からのリモートセンシングでは推定が難しかった沿岸海域のクロロフィルα濃度に対して適用可能であることを確認しました。
一見すると美しいサンゴ礁や豊かな自然が残るように見える沿岸でも、沿岸域の開発や観光利用などの人間活動によって環境が悪化している例は少なくありません。これらの環境変化を回復へと向かわせる「ネイチャーポジティブ」を実現するには、環境変化を客観的・長期的・効率的に監視する仕組みが重要となります。その手段として、衛星を利用したリモートセンシング技術の活用が進められています。
従来の衛星観測では、海が反射する光の色(可視波長の反射スペクトル)の変化からクロロフィルα濃度を推定し、植物プランクトン量を把握します。しかし、沿岸域では海底からの反射光や陸域由来のさまざまな物質の影響が大きく、従来手法では推定が困難でした。
今回の研究では、HISUIデータにデータマイニングを適用することで、可視波長より波長が長い710 nmと800 nm付近(近赤外域)に現れる特徴的なパターンが、沿岸の浅海域のクロロフィルα濃度を示す新しい指標になることを見出しました。さらに、このパターンが現れる沿岸域において、現地での分光測定とクロロフィルα濃度測定を実施し、両者の対応関係を明らかにしました。
本手法により、クロロフィルα濃度の変化を指標として、人間活動の影響を受けやすい沿岸域の環境変化を把握できるようになり、サンゴをはじめとする沿岸生態系の変化を宇宙から継続的に見守る新たな環境モニタリング技術としての活用が期待されます。
なお、この研究成果の詳細は、2026年3月7日に「Journal of Geophysical Research: Biogeosciences」に掲載されました。
海域の環境変化を効率よく把握することはネイチャーポジティブ実現に向けて非常に重要です。特に沿岸域は、人間活動に伴う開発や観光利用の影響で、陸から流入する栄養塩などによる水質や生態系の変化が起きやすい環境にあります。一見すると美しいサンゴ礁や豊かな自然が残るように見える沿岸でも、沿岸域の開発や観光利用などの人間活動によって環境が悪化している例は少なくありません。そのため、沿岸環境の状態を、客観的・継続的・効率的に把握する方法が求められています。しかし、現地調査だけでは広域を継続的に見守ることが難しく、また開発事業者が行う環境評価では、透明性・公平性の確保が課題となる場合もあります。
そこで、衛星リモートセンシングを活用した海域環境の監視手法に注目が集まっています。従来、海域環境に対する衛星観測では、クロロフィルαに注目してきました。クロロフィルαは植物プランクトンを始めとする光合成生物が共通して持つ色素で、特定の色の光を吸収する性質があります。このため、植物プランクトンの量だけでなく、どれくらい活発に光合成をしているかを示す指標として広く利用されています。クロロフィルαは青色の光を強く吸収し、緑の光を多く反射するため、海水中のクロロフィルαが増えると、海の色は青から緑色を帯びた色へと変化します。従来法ではこの特徴を利用し、衛星観測では海面の色(可視波長で観測された反射スペクトル)の変化を捉えることで、海域の環境変化を捉えてきました。しかし、この手法は、植物プランクトンが主に海の色を決める外洋では有効ですが、沿岸域は海底の反射や陸から流入する懸濁物質・溶存有機物の影響が大きいため、海面の色からのクロロフィルα濃度推定は困難でした。
産総研ではこれまで、地球観測衛星や月・惑星探査で取得されるハイパースペクトルデータを用い、特定の鉱物を識別する反射スペクトル解析技術の開発を進めてきました(2025年3月17日産総研プレス発表、2026年2月24日産総研プレス発表)。この過程で蓄積してきた分光学とデータ解析の知見を基に、植生や光合成色素の分光特性にも着目し、海域で観測される反射スペクトルの中からクロロフィルαに由来する特徴的な情報を抽出するデータマイニング手法の開発を進めてきました。
さらに、沖縄県に所在する名桜大学の水山 克 准教授の、サンゴ礁を含む多様な生態系が広がる沿岸域での現地観察による専門的知見を取り入れて生物多様性分野と異分野連携ができたことで、衛星データと海域の生態学的実態を結びつける新しいアプローチを確立しました。
これらの取り組みを通じて、「HISUI」データへ本手法を応用し、クロロフィルαが近赤外域にもつ反射スペクトルの特徴を、明瞭に検出することに成功しました。
図1は、多重散乱モデルで計算して得られた、クロロフィルα濃度を5段階設定した浅海域の水の反射スペクトルのシミュレーション結果を示しています。クロロフィルαが存在しない場合、反射スペクトルは波長が長くなるほど単調に減少します。これは、可視光(380~780 nm)より長い波長域では、水が光を強く吸収する性質をもつためです。しかし、クロロフィルα濃度が高くなると、反射スペクトルにいくつか特徴的な変化が現れます。まず、(A)の675 nm付近では、クロロフィルα特有の強い吸収によって反射率が大きく低下します。また、植物プランクトン細胞がもつ散乱および吸収特性の影響で、(B)の710 nm付近には新たな反射ピークが形成されます(以下、ピーク1と呼ぶ)。さらに、浅い沿岸域では海底からの反射光が加わるため、(B)に加えて(C)の800 nm付近にも別の反射ピークが出現します(以下、ピーク2と呼ぶ)。ここでわれわれが注目したポイントは、(B)のピーク1と(C)のピーク2が“同時に”現れる反射スペクトルは、沿岸域におけるクロロフィルα濃度の高さに対して指標を与えうるという点です。以下では、これらの近赤外域でみられる710 nmと800 nmの二つのピークのことをまとめて「ダブルピーク」と呼びます。
沿岸域の反射スペクトルに、700 nm付近や800 nm付近で反射率が増加する特徴が見られることは先行研究で指摘されていました。しかし従来の海域観測を目的としたマルチバンド形式の衛星センサーでは観測できる波長帯が限られており、また複雑な地形をもつ沿岸域を十分な空間分解能で観測できず、ダブルピークとクロロフィルα濃度との関係は十分に解明・検証されていませんでした。

図1 クロロフィルα濃度に対しての水の反射スペクトル(多重散乱モデルを使ってシミュレーションした結果)。
(A)の領域はクロロフィルαによって生じる吸収帯。光合成は、この吸収帯の光エネルギーを利用して行われる。(B)と(C)は今回の研究で着目した反射率のピーク(710 nmを中心とするピーク1と800 nmを中心とするピーク2)を示す波長帯。クロロフィルα濃度が増加するとピーク1が顕著になる傾向がわかる。※原論文の図を引用・改変したものを使用。
今回われわれは、図1に示したシミュレーション結果を基に、沖縄本島沿岸で観測されたHISUIのハイパースペクトルデータに対して、ダブルピークを示す反射スペクトルのみを抽出するデータマイニング手法を適用しました。その結果、観測した沿岸域のうち特定の沿岸の浅海域に、ダブルピークを示す反射スペクトルが集中的に存在することが明らかとなりました(図2の黄色丸)。このダブルピークを示す点は、沿岸の浅海域全体に一様には分布しておらず、特定の入江やサンゴ礁周辺に集中する傾向があることも分かりました。

図2 沖縄本島中央西側における「ダブルピーク」を示す地点の分布(黄色丸)。
多くの検知点は真栄田、屋嘉田といったサンゴなど多様な生物が多く生息する沿岸域で見つかっている。(なお、金武湾に面する屋嘉ビーチでは「ダブルピーク」は見つかっていないが、現地調査を行った場所を示している。)背景図はHISUIの波長765 nm, 555 nm, 705 nmのデータをそれぞれ赤、緑、青に割り当てて作成した擬似カラー画像。※原論文の図を引用・改変したものを使用。
ダブルピークが集中する場所にはどのような環境的特徴があるのか、この点を確かめる現地調査を行いました(図3)。その結果、HISUIデータで多数のダブルピークが検出された屋嘉田および真栄田の沿岸では、浅海域に多様な生物が生息し、生命活動が活発な環境が広がっていることが確認されました。また、持ち運び可能なハイパースペクトル測定装置を用いて現地の海水の反射スペクトルの測定を行ったところ、HISUIデータと同様のダブルピークが明瞭に確認されました。一方、浅海域でありながらHISUIデータでダブルピークが確認されなかった屋嘉ビーチにおいて同様の測定を行ったところ、ハイパースペクトル測定装置でもダブルピークは観測されず、顕著な生態系の存在も見られませんでした。これらの結果は、HISUIデータにおけるダブルピークが示すクロロフィルα濃度の空間分布が、実際の生態環境のクロロフィルα濃度と近似することを示しています。
さらに、「ダブルピーク」の特徴とクロロフィルα濃度の関係を調べるため、屋嘉田、屋嘉ビーチ、備瀬、瀬底など複数の沿岸域で海水を採取し、クロロフィルα濃度とハイパースペクトル測定装置によるダブルピークの強度を測定しました。その結果、クロロフィルα濃度が高い海域ほど、ピーク2の強度に対してピーク1の強度が相対的に大きくなる傾向が確認されました(図4)。ダブルピークが多く観測された屋嘉田ではクロロフィルα濃度が40-60 μg/Lもしくはそれ以上の高い値を示したのに対し、屋嘉ビーチでは20 μg/L以下の低い値にとどまり、HISUIデータと現地観測の一致が示されました。これらの結果から、ダブルピークのうち特にピーク1の強度は、クロロフィルα濃度の良い指標であることが結論づけられます。このことは、HISUIのリモートセンシングによる反射スペクトルからダブルピークの強度を解析することで、現地のクロロフィルα濃度を推定できることを意味します。
今回の研究は、ダブルピークという新しい指標を用いることで、従来の手法では難しかった沿岸域のクロロフィルα濃度を、衛星観測により遠隔から評価できる可能性を世界で初めて実証したものです。この成果から、ハイパースペクトルデータを使った宇宙からの観測による赤潮発生の兆候監視や沿岸環境の広域モニタリング、沿岸開発に対する環境影響の客観的評価などへの活用が期待されます。

図3 持ち運び可能なハイパースペクトル測定装置(FieldSpec)を使った現地調査の様子。
(上)備瀬での現地測定の様子。測定装置のピストル型の受光器を使って水面からの光を測定する。参照用白板は反射率データを取得するためのリファレンスとして使用される。(下)HISUIデータにおいてダブルピークが集中していた真栄田や屋嘉田では、サンゴなど多様な生物が多く生息している。※原論文の図を引用・改変したものを使用。

図4 屋嘉田(◼️)、備瀬(▲)、屋嘉ビーチ(⚫︎)、瀬底(◆)の海水におけるピーク1とピーク2の関係。現地で直接測定した水に対するクロロフィルαの濃度を色で示しており、寒色(水色、青色)から暖色(緑、黄色、赤、紫)の順に濃度が高くなる。
この図から大きく三つの傾向を見ることができる。一つ目は屋嘉田(主に暖色系データ点)で観測されるように、ピーク1の強度が全体的に高く、クロロフィルα濃度も40-60 μg/Lもしくはそれ以上と相対的に高い値を示す集団。一方、屋嘉ビーチや瀬底(主に水色データ点)は、ピーク1の強度が全体的に低く、クロロフィルα濃度も20 μg/L以下である。備瀬のデータ(主に青色データ点)は両者の中間地点に分布し、クロロフィルα濃度は20-30 μg/Lである。ここで重要なのは、ピーク1の強度はクロロフィルα濃度だけでなく、水深によっても変化する点である。一方、ピーク2の強度はクロロフィルα濃度に依存せず水深のみによって変化する。この特徴を利用し、ピーク1の値そのものではなく、ピーク1とピーク2の関係(図中のデータの分布から形成される傾き)を見ることで、水深の影響を分離し、クロロフィルα濃度だけを推定することができる。※原論文の図を引用・改変したものを使用。
今後は、衛星観測だけでは捉えきれない細かな空間分解能や高い観測頻度を補うため、ドローン搭載型ハイパースペクトルセンサー(ドローンハイパー)の活用を進めていく予定です。ドローン観測と現地調査を組み合わせることで、HISUIがカバーできない沿岸域でも、今回示したダブルピークを用いたクロロフィルα推定手法をより高精度に適用できるようになります。これらを通じて、衛星データとドローンを統合した、ダブルピークを指標とする新しい環境モニタリング技術を確立し、沿岸生態系の保全や海洋環境の持続的な利用に貢献することを目指します。
掲載誌:Journal of Geophysical Research: Biogeosciences
タイトル:Double-Peaked Hyperspectral Features at 710 and 800 nm for Monitoring Coastal Chlorophyll-α Concentrations From Space
著者名:Satoru Yamamoto, Masaru Mizuyama, Moe Matsuoka, Ayame Ikeda, Hiroki Mizuochi, and Akira Iguchi
DOI:10.1029/2025JG009443